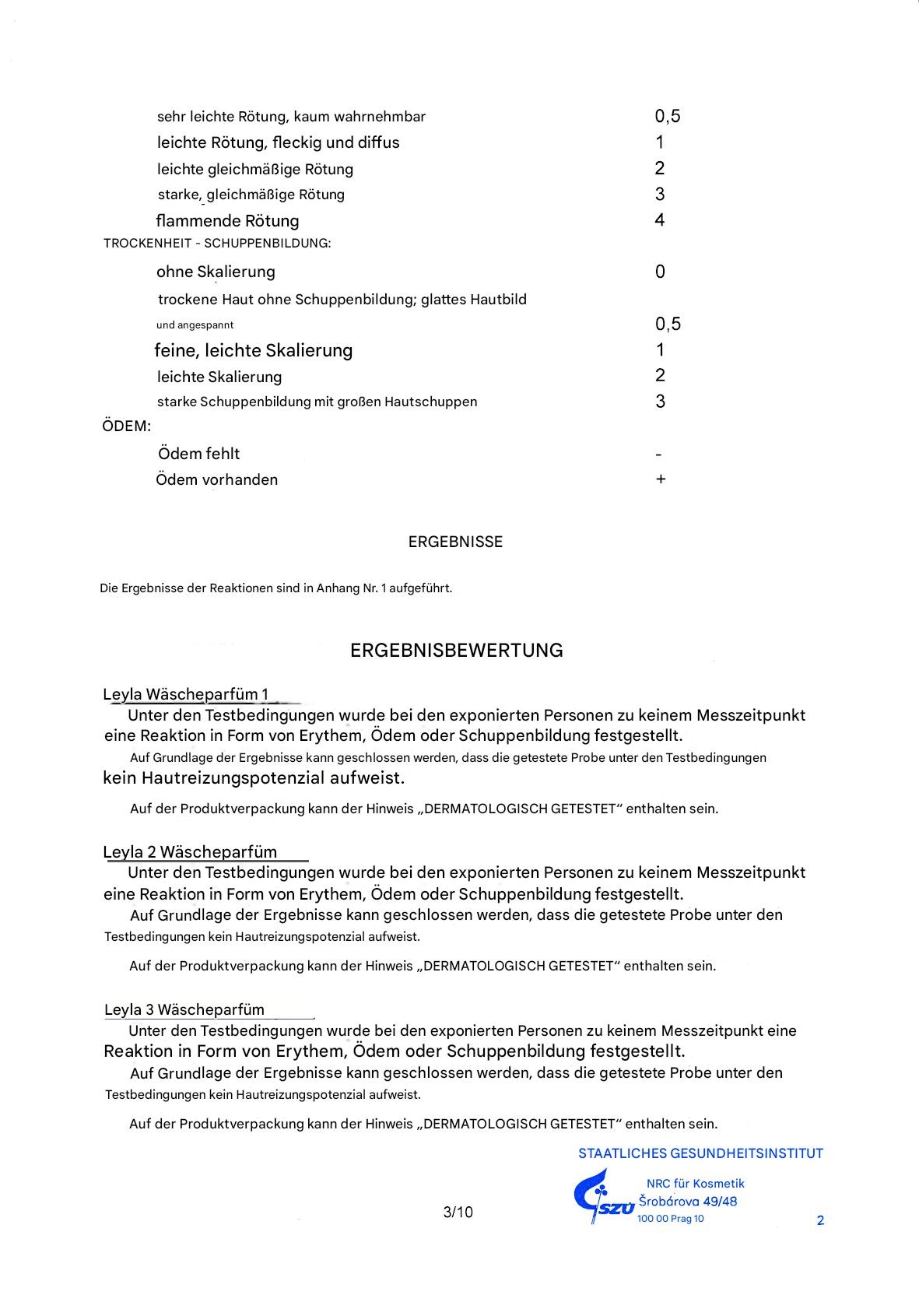
REAL DERMO TESTED
Ihre Sicherheit hat für uns oberste Priorität!
Der Beweis dafür ist, dass die Leyla Wäscheparfüms erfolgreich zertifizierte dermatologische Tests bestanden haben, die ausschließlich für Kosmetika bestimmt sind, die direkt auf die menschliche Haut aufgetragen werden. Diese Tests wurden in Form von wiederholten geschlossenen Epikutantests durchgeführt, die bestätigten, dass die Leyla Wäscheparfüms für alle Hauttypen, einschließlich empfindlicher Haut, geeignet und sicher sind.
Das Originaldokument in unübersetzter Form ist hier verfügbar.












.png)